检验医学 ›› 2026, Vol. 41 ›› Issue (1): 1-7.DOI: 10.3969/j.issn.1673-8640.2026.01.001

• 论著 •    下一篇

vWF/ADAMTS13比值和vWF功能在IgA肾病进展中的作用

伍卓霖, 袁珺唯, 张子琪, 刘禹, 许冠群, 王学锋, 陆晔玲()   

  1. 上海交通大学医学院附属瑞金医院检验科,上海 200025
  • 修回日期:2025-06-03 出版日期:2026-01-30 发布日期:2026-01-30
  • 通讯作者: 陆晔玲
  • 作者简介:陆晔玲,E-mail:Lucille610@126.com
    伍卓霖,女,2001年生,硕士,主要从事肾小球相关疾病研究。
  • 基金资助:
    上海市自然科学基金项目(22ZR1439500)

Role of vWF/ADAMTS13 ratio and vWF function in progression of immunoglobulin A nephropathy

WU Zhuolin, YUAN Junwei, ZHANG Ziqi, LIU Yu, XU Guanqun, WANG Xuefeng, LU Yeling()   

  1. Department of Clinical Laboratory,Ruijin Hospital,Shanghai Jiao Tong University School of Medicine,Shanghai 200025,China
  • Revised:2025-06-03 Online:2026-01-30 Published:2026-01-30
  • Contact: LU Yeling

摘要:

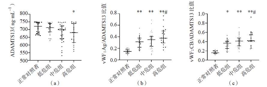
目的 探讨血管性血友病因子(vWF)/血管性血友病因子裂解酶(ADAMTS13)比值和vWF功能在评估IgAN患者病情进展中的作用。方法 选取2023年12月—2024年2月上海交通大学医学院附属瑞金医院IgAN患者84例、健康体检者79名(正常对照组)。根据改善肾脏病全球预后组织(KDIGO)慢性肾脏病分期指南对IgAN患者进行危险分层,分为低危组(32例)、中危组(32例)和高危组(20例)。收集所有患者一般资料和实验室常规指标检测结果,并检测血浆vWF抗原(vWF:Ag)、vWF胶原结合活性(vWF:CB)、ADAMTS13活性和vWF多聚体。采用受试者工作特征(ROC)曲线评价各项指标判断IgAN患者为高危的效能。结果 与正常对照组比较,低危组、中危组、高危组vWF:Ag、vWF:CB水平和vWF:Ag/ADAMTS13比值、vWF:CB/ADAMTS13比值均显著升高(P<0.001);高危组低相对分子质量血管性血友病因子多聚体(LMWM-vWF)、中相对分子质量血管性血友病因子多聚体(IMWM-vWF)百分比均升高(P<0.01),高相对分子质量血管性血友病因子多聚体(HMWM-vWF)百分比和ADAMTS13活性均降低(P<0.05)。高危组vWF:Ag和vWF:CB水平均显著高于低危组(P<0.05),vWF:Ag/ADAMTS13比值和vWF:CB/ADAMTS13比值均高于低危组(P<0.05)。vWF:Ag/ADAMTS13比值、vWF:CB/ADAMTS13比值、血清肌酐(SCr)和vWF:Ag判断IgAN患者为高危的曲线下面积(AUC)分别为0.731、0.752、0.952和0.716。结论 IgAN患者vWF和ADAMTS13水平异常,vWF/ADAMTS13比值升高与肾病进展有关。

关键词: 血管性血友病因子, 血管性血友病因子裂解酶, IgA肾病

Abstract:

Objective To investigate the role of the ratio of von Willebrand factor(vWF)to a disintegrin and metalloproteinase with a thrombospondin type 1 motif 13(ADAMTS13)and vWF function in evaluating the disease progression of immunoglobulin A nephropathy(IgAN)patients. Methods A total of 84 IgAN patients and 79 healthy subjects(healthy control group)from Ruijin Hospital of Shanghai Jiao Tong University School of Medicine were enrolled from December 2023 to February 2024. According to the Kidney Disease:Improving Global Outcomes(KDIGO)guidelines,the IgAN patients were classified into low-risk group(32 cases),intermediate-risk group(32 cases)and high-risk group(20 cases). The general information and laboratory routine determination results were collected,and plasma vWF antigen(vWF:Ag),vWF collagen binding(vWF:CB),ADAMTS13 activity and vWF multimers were determined. The efficacy of each indicator in determining the high-risk status of IgAN patients was evaluated by receiver operating characteristic(ROC) curve. Results Compared with healthy control group,the levels of vWF:Ag,vWF:CB,vWF:Ag/ADAMTS13 ratio and vWF:CB/ADAMTS13 ratio in low-risk group,intermediate-risk group and high-risk group were increased(P<0.001). Compared with healthy control group,the percentages of low-molecular-weight von Willebrand factor multimers(LMWM-vWF)and intermediate-molecular-weight von Willebrand factor multimers(IMWM-vWF)in high-risk group were increased(P<0.01),and the percentage of high-molecular-weight von Willebrand factor multimers(HMWM-vWF)and ADAMTS13 activity were decreased(P<0.05). The levels of vWF:Ag and vWF:CB in high-risk group were higher than those in low-risk group(P<0.05),and the vWF:Ag/ADAMTS13 ratio and vWF:CB/ADAMTS13 ratio were higher than those in low-risk group(P<0.05). The areas under curves(AUC)of vWF:Ag/ADAMTS13 ratio,vWF:CB/ADAMTS13 ratio,serum creatinine(SCr)and vWF:Ag in predicting the high-risk status of IgAN patients were 0.731,0.752,0.952 and 0.716,respectively. Conclusions The levels of vWF and ADAMTS13 in IgAN patients are abnormal,and the increase in vWF/ADAMTS13 ratio is related to the progression of kidney disease.

Key words: Von Willebrand factor, A disintegrin and metalloproteinase with a thrombospondin type 1 motif 13, Immunoglobulin A nephropathy

中图分类号: