Laboratory Medicine ›› 2025, Vol. 40 ›› Issue (12): 1159-1164.DOI: 10.3969/j.issn.1673-8640.2025.12.004
HUANG Ting, XU Yan, SHI Qingxing, PENG Ying(
)
Received:2023-11-02
Revised:2025-02-18
Online:2025-12-30
Published:2025-12-26
Contact:
PENG Ying
CLC Number:
HUANG Ting, XU Yan, SHI Qingxing, PENG Ying. Roles of miR-944 and MARCH7 mRNA in prognosis assessment of non-small cell lung cancer patients[J]. Laboratory Medicine, 2025, 40(12): 1159-1164.
Add to citation manager EndNote|Ris|BibTeX
URL: https://www.shjyyx.com/EN/10.3969/j.issn.1673-8640.2025.12.004
| 基因名称 | 上游引物(5'~3') | 下游引物(5'~3') |
|---|---|---|
| miR-944 | CCTGTGCTGCGAAGTGGAAAC | TTCGATCTGCTCCTGGCAGG |
| U6 | ACCTGGGCTACGGGTTACTTAT | ATTCGGTGCGACTGATCCGT |
| MARCH7 | TGTGTGGAGAGCGTCAACCG | TGGATCCAGGTGTGCAGGT |
| β-actin | ACTGCTGCTGGTCACCTAACT | ACTCCTACTGCCTGACTATC |
| 基因名称 | 上游引物(5'~3') | 下游引物(5'~3') |
|---|---|---|
| miR-944 | CCTGTGCTGCGAAGTGGAAAC | TTCGATCTGCTCCTGGCAGG |
| U6 | ACCTGGGCTACGGGTTACTTAT | ATTCGGTGCGACTGATCCGT |
| MARCH7 | TGTGTGGAGAGCGTCAACCG | TGGATCCAGGTGTGCAGGT |
| β-actin | ACTGCTGCTGGTCACCTAACT | ACTCCTACTGCCTGACTATC |
| 组织 | 例数 | miR-944 | MARCH7 mRNA |
|---|---|---|---|
| 癌旁组织 | 97 | 0.93±0.24 | 0.68±0.16 |
| 癌组织 | 97 | 2.45±0.61 | 3.18±0.77 |
| t值 | 22.837 | 31.308 | |
| P值 | <0.001 | <0.001 |
| 组织 | 例数 | miR-944 | MARCH7 mRNA |
|---|---|---|---|
| 癌旁组织 | 97 | 0.93±0.24 | 0.68±0.16 |
| 癌组织 | 97 | 2.45±0.61 | 3.18±0.77 |
| t值 | 22.837 | 31.308 | |
| P值 | <0.001 | <0.001 |
| 临床病理特征 | 例数 | miR-944 | MARCH7 mRNA | 临床病理特征 | 例数 | miR-944 | MARCH7 mRNA |
|---|---|---|---|---|---|---|---|
| 年龄 | 吸烟史 | ||||||
| <60岁 | 29 | 2.42±0.60 | 3.16±0.77 | 无 | 44 | 2.36±0.55 | 3.12±0.69 |
| ≥60岁 | 68 | 2.47±0.59 | 3.22±0.80 | 有 | 53 | 2.53±0.62 | 3.23±0.72 |
| t值 | 0.380 | 0.341 | t值 | 1.414 | 0.763 | ||
| P值 | 0.704 | 0.733 | P值 | 0.161 | 0.447 | ||
| 性别 | 组织分化程度 | ||||||
| 女 | 34 | 2.38±0.57 | 3.13±0.72 | 中高分化 | 41 | 2.31±0.47 | 3.01±0.57 |
| 男 | 63 | 2.51±0.62 | 3.25±0.73 | 低分化 | 56 | 2.67±0.65 | 3.42±0.85 |
| t值 | 1.012 | 0.776 | t值 | 3.165 | 2.841 | ||
| P值 | 0.314 | 0.439 | P值 | 0.002 | 0.005 | ||
| 肿瘤直径 | 淋巴转移 | ||||||
| <3 cm | 27 | 2.40±0.58 | 3.15±0.78 | 无 | 39 | 2.27±0.45 | 2.95±0.60 |
| ≥3 cm | 70 | 2.49±0.61 | 3.21±0.80 | 有 | 58 | 2.69±0.64 | 3.45±0.82 |
| t值 | 0.660 | 0.333 | t值 | 3.794 | 3.465 | ||
| P值 | 0.511 | 0.739 | P值 | 0.001 | 0.001 | ||
| 病理类型 | TNM分期 | ||||||
| 鳞癌 | 34 | 2.39±0.57 | 3.14±0.75 | Ⅰ+Ⅱ期 | 44 | 2.32±0.48 | 3.05±0.54 |
| 腺癌 | 63 | 2.48±0.56 | 3.24±0.73 | Ⅲa期 | 53 | 2.71±0.62 | 3.39±0.81 |
| t值 | 0.751 | 0.637 | t值 | 3.408 | 2.466 | ||
| P值 | 0.454 | 0.525 | P值 | 0.001 | 0.014 |
| 临床病理特征 | 例数 | miR-944 | MARCH7 mRNA | 临床病理特征 | 例数 | miR-944 | MARCH7 mRNA |
|---|---|---|---|---|---|---|---|
| 年龄 | 吸烟史 | ||||||
| <60岁 | 29 | 2.42±0.60 | 3.16±0.77 | 无 | 44 | 2.36±0.55 | 3.12±0.69 |
| ≥60岁 | 68 | 2.47±0.59 | 3.22±0.80 | 有 | 53 | 2.53±0.62 | 3.23±0.72 |
| t值 | 0.380 | 0.341 | t值 | 1.414 | 0.763 | ||
| P值 | 0.704 | 0.733 | P值 | 0.161 | 0.447 | ||
| 性别 | 组织分化程度 | ||||||
| 女 | 34 | 2.38±0.57 | 3.13±0.72 | 中高分化 | 41 | 2.31±0.47 | 3.01±0.57 |
| 男 | 63 | 2.51±0.62 | 3.25±0.73 | 低分化 | 56 | 2.67±0.65 | 3.42±0.85 |
| t值 | 1.012 | 0.776 | t值 | 3.165 | 2.841 | ||
| P值 | 0.314 | 0.439 | P值 | 0.002 | 0.005 | ||
| 肿瘤直径 | 淋巴转移 | ||||||
| <3 cm | 27 | 2.40±0.58 | 3.15±0.78 | 无 | 39 | 2.27±0.45 | 2.95±0.60 |
| ≥3 cm | 70 | 2.49±0.61 | 3.21±0.80 | 有 | 58 | 2.69±0.64 | 3.45±0.82 |
| t值 | 0.660 | 0.333 | t值 | 3.794 | 3.465 | ||
| P值 | 0.511 | 0.739 | P值 | 0.001 | 0.001 | ||
| 病理类型 | TNM分期 | ||||||
| 鳞癌 | 34 | 2.39±0.57 | 3.14±0.75 | Ⅰ+Ⅱ期 | 44 | 2.32±0.48 | 3.05±0.54 |
| 腺癌 | 63 | 2.48±0.56 | 3.24±0.73 | Ⅲa期 | 53 | 2.71±0.62 | 3.39±0.81 |
| t值 | 0.751 | 0.637 | t值 | 3.408 | 2.466 | ||
| P值 | 0.454 | 0.525 | P值 | 0.001 | 0.014 |
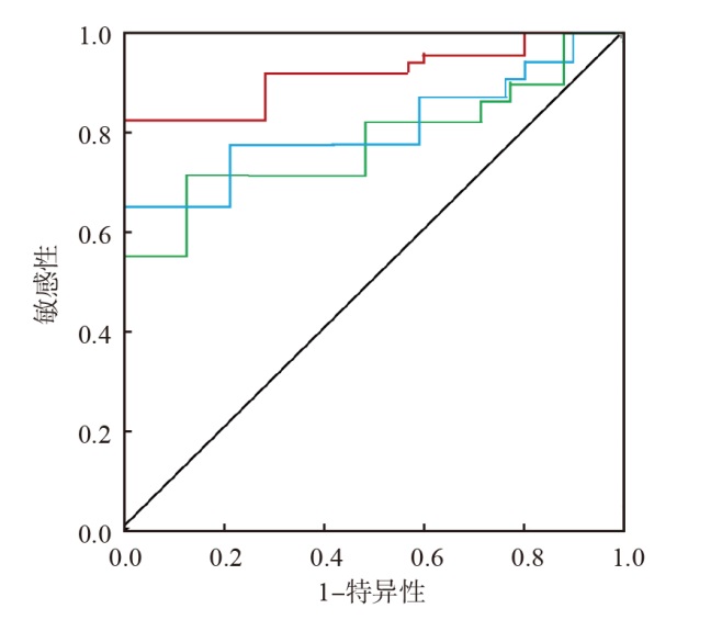
| 项目 | AUC(95%CI①) | 最佳临界值 | 敏感性/% | 特异性/% | Youden指数 |
|---|---|---|---|---|---|
| miR-944 | 0.685(0.621~0.702) | 2.39 | 76.58 | 74.29 | 0.508 7 |
| MARCH7 mRNA | 0.677(0.602~0.699) | 3.05 | 70.78 | 71.21 | 0.419 9 |
| 联合检测 | 0.745(0.654~0.779) | 84.08 | 85.12 | 0.692 0 |
| 项目 | AUC(95%CI①) | 最佳临界值 | 敏感性/% | 特异性/% | Youden指数 |
|---|---|---|---|---|---|
| miR-944 | 0.685(0.621~0.702) | 2.39 | 76.58 | 74.29 | 0.508 7 |
| MARCH7 mRNA | 0.677(0.602~0.699) | 3.05 | 70.78 | 71.21 | 0.419 9 |
| 联合检测 | 0.745(0.654~0.779) | 84.08 | 85.12 | 0.692 0 |
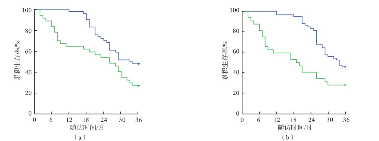
| 因素 | 单因素分析 | 多因素分析 | |||
|---|---|---|---|---|---|
| HR①值(95%CI) | P值 | HR值(95%CI) | P值 | ||
| 肿瘤直径(<3 cm与≥3 cm) | 1.446(0.790~1.841) | 0.087 | |||
| 年龄(<60岁与≥60岁) | 1.035(0.961~1.126) | 0.402 | |||
| 性别(男与女) | 1.202(0.816~1.640) | 0.306 | |||
| 吸烟史(无与有) | 1.377(0.846~1.765) | 0.088 | |||
| 病理类型(鳞癌与腺癌) | 1.238(0.823~1.614) | 0.216 | |||
| 淋巴转移(无与有) | 1.918(1.417~2.907) | <0.001 | 2.093(1.647~3.140) | <0.001 | |
| 组织分化程度(中高分化与低分化) | 1.716(1.212~2.617) | 0.006 | 1.822(1.354~2.813) | 0.001 | |
| TNM分期(Ⅰ~Ⅱ期与Ⅲa期) | 1.785(1.244~2.696) | 0.003 | 1.547(1.164~2.146) | 0.005 | |
| miR-944(高表达与低表达) | 2.217(1.897~3.759) | <0.001 | 2.109(1.711~3.266) | <0.001 | |
| MARCH7 mRNA(高表达与低表达) | 2.304(1.913~4.026) | <0.001 | 2.200(1.869~3.685) | <0.001 | |
| 因素 | 单因素分析 | 多因素分析 | |||
|---|---|---|---|---|---|
| HR①值(95%CI) | P值 | HR值(95%CI) | P值 | ||
| 肿瘤直径(<3 cm与≥3 cm) | 1.446(0.790~1.841) | 0.087 | |||
| 年龄(<60岁与≥60岁) | 1.035(0.961~1.126) | 0.402 | |||
| 性别(男与女) | 1.202(0.816~1.640) | 0.306 | |||
| 吸烟史(无与有) | 1.377(0.846~1.765) | 0.088 | |||
| 病理类型(鳞癌与腺癌) | 1.238(0.823~1.614) | 0.216 | |||
| 淋巴转移(无与有) | 1.918(1.417~2.907) | <0.001 | 2.093(1.647~3.140) | <0.001 | |
| 组织分化程度(中高分化与低分化) | 1.716(1.212~2.617) | 0.006 | 1.822(1.354~2.813) | 0.001 | |
| TNM分期(Ⅰ~Ⅱ期与Ⅲa期) | 1.785(1.244~2.696) | 0.003 | 1.547(1.164~2.146) | 0.005 | |
| miR-944(高表达与低表达) | 2.217(1.897~3.759) | <0.001 | 2.109(1.711~3.266) | <0.001 | |
| MARCH7 mRNA(高表达与低表达) | 2.304(1.913~4.026) | <0.001 | 2.200(1.869~3.685) | <0.001 | |
| [1] | 赵健, 刘利群, 艾飞玲, 等. 中国2013—2018年≥30岁居民肺癌死亡率变化轨迹分析[J]. 中国公共卫生, 2021, 37(10):1495-1500. |
| [2] | 邓正亭, 赵凡, 赵彤, 等. 基于数据挖掘技术探析中医药治疗中晚期非小细胞肺癌的用药规律[J]. 中国实验方剂学杂志, 2022, 28(3):171-179. |
| [3] | 谭晓刚, 支修益. MicroRNA与非小细胞肺癌[J]. 首都医科大学学报, 2015,4:519-524. |
| [4] | 郭凤, 黄伟, 王佩红, 等. miR-944在HPV16阳性宫颈癌患者组织表达及临床意义[J]. 中国妇幼健康研究, 2023, 34(3):94-98. |
| [5] | 李新菊, 宋宇, 王学玲. miR-944靶向调控S100PBP基因促进宫颈癌细胞迁移和侵袭的机制探讨[J]. 现代肿瘤医学, 2019, 27(7):1122-1127. |
| [6] |
LIU M, ZHOU K, CAO Y. MicroRNA-944 affects cell growth by targeting EPHA7 in non-small cell lung cancer[J]. Int J Mol Sci, 2016, 17(10):1493.
DOI URL |
| [7] | 胡建国. MARCH7促进上皮性卵巢癌恶性进展及机制的研究[D]. 重庆: 重庆医科大学, 2016. |
| [8] |
SINGH S, BANO A, SARAYA A, et al. Association of MARCH7 with tumor progression and T-cell infiltration in esophageal cancer[J]. Med Oncol, 2022, 40(1):67.
DOI PMID |
| [9] | 鲁小敏. MARCH7在非小细胞肺癌中的作用及其机制研究[D]. 苏州: 苏州大学, 2021. |
| [10] | 赵泽坤, 周志明, 王建雄, 等. 影像学检查指标、血清肿瘤标志物、细胞分子标志物在ICC淋巴结转移预测中的应用进展[J]. 山东医药, 2023, 63(12):92-95. |
| [11] | 张嘉文, 申婷, 李海鹏, 等. 循环外泌体miR-17-5p和miR-21-5p检测在NSCLC早期诊断及进展评估中的价值[J]. 河北医药, 2022, 44(13):1978-1981. |
| [12] | 周潇, 邹强, 张岩. 7项肿瘤相关抗原自身抗体在不同分期非小细胞肺癌诊断中临床意义[J]. 临床军医杂志, 2022, 50(9):922-925. |
| [13] |
HE H, TIAN W, CHEN H, et al. MiR-944 functions as a novel oncogene and regulates the chemoresistance in breast cancer[J]. Tumour Biol, 2016, 37(2):1599-1607.
DOI URL |
| [14] |
PARK S, KIM J, EOM K, et al. MicroRNA-944 overexpression is a biomarker for poor prognosis of advanced cervical cancer[J]. BMC Cancer, 2019, 19(1):419.
DOI PMID |
| [15] | 张田, 任丹, 李杰. circBIRC6通过miR-944/CD44轴促进PD-L1介导的非小细胞肺癌免疫逃逸[J]. 河北医学, 2022, 28(12):1969-1977. |
| [16] | 熊飞, 詹瑧, 唐于平, 等. PI3K/Akt信号转导通路在非小细胞肺癌中的作用[J]. 中国药理学通报, 2010, 26(10):1264-1267. |
| [17] |
BARARTABAR Z, MOINI N, ABBASALIPOURKABIR R, et al. Investigation of miR-133a,miR-637 and miR-944 genes expression and their relationship with PI3K/AKT signaling in women with breast cancer[J]. J Cancer Res Clin Oncol, 2023, 149(9):6115-6129.
DOI |
| [18] | 王暖, 杨丽娟, 刘成霞. 膜相关环状蛋白在肿瘤中作用的研究进展[J]. 山东医药, 2021, 61(2):84-87. |
| [19] | 王暖, 杨丽娟, 刘成霞. MARCH1在免疫及肿瘤等方面的研究进展[J]. 国际医药卫生导报, 2021, 27(11):1582-1587. |
| [20] | 王美姣. MARCH家族蛋白在免疫、生殖等方面的研究进展[J]. 重庆医学, 2016, 45(29):4144-4147. |
| [21] | 刘玲. MARCH7调控子宫内膜癌恶性进展的作用与机制研究[D]. 重庆: 重庆医科大学, 2017. |
| [22] | 刘红梅, 王志鹏, 刘志刚. 党参总皂苷通过调控miR-142-3p/MARCH7轴影响乳腺癌细胞MCF-7增殖和凋亡[J]. 毒理学杂志, 2021, 35(6):465-469. |
| [23] |
CHEN T, MENG Y, ZHOU Z, et al. GAS5 protects against nonalcoholic fatty liver disease via miR-28a-5p/MARCH7/NLRP3 axis-mediated pyroptosis[J]. Cell Death Differ, 2023, 30(7):1829-1848.
DOI PMID |
| [24] |
ZHANG L, WANG H, TIAN L, et al. Expression of USP7 and MARCH7 is correlated with poor prognosis in epithelial ovarian cancer[J]. Tohoku J Exp Med, 2016, 239(3):165-175.
DOI PMID |
| [25] |
HU J, ZHANG L, MEI Z, et al. Interaction of E3 Ubiquitin ligase MARCH7 with long noncoding RNA MALAT1 and autophagy-related protein ATG7 promotes autophagy and invasion in ovarian cancer[J]. Cell Physiol Biochem, 2018, 47(2):654-666.
DOI PMID |
| [26] | 李祺瑞, 陈美娟. 细胞自噬与非小细胞肺癌关系的研究进展[J]. 中国肿瘤, 2022, 31(5):380-386. |
| Viewed | ||||||
|
Full text |
|
|||||
|
Abstract |
|
|||||