通讯作者:王前,联系电话:020-61641007。
作者简介:曾方银,男,1968年生,博士,副教授,主要从事临床生化检验与教学工作。
对血清C反应蛋白(CRP)早期预测重症急性胰腺炎(SAP)的诊断价值进行系统评价。
方法检索中国期刊网、中国生物医学期刊文献数据库、中国生物医学文献数据库、中国知网、PubMed、Embase,收集相关原始研究;采用文献质量评价结合Meta分析的方法合并分析CRP不同时间、不同Cut-off值早期预测SAP的异质性及其诊断效能,并与临床广泛应用的Ranson评分和急性生理与慢性健康估测评分(APACHE Ⅱ)进行比较。
结果急性胰腺炎(AP)患者入院后1 d或2 d,血清CRP预测SAP发生的诊断效能同Ranson评分相比,其合并受试者工作曲线下面积(SROC AUC)稍高但差异无统计学意义。当Cut-off 值介于100~130 mg/L时,入院后2 d检测血清CRP,其早期预测SAP的SROC AUC可达0.849 6,同APACHE Ⅱ临界值为8时的诊断效能差异明显;入院后1 d检测血清CRP预测SAP的诊断效能也不逊于APACHE Ⅱ。
结论准确测定血清CRP并选择合适的Cut-off 值,将在AP患者入院的早期(1~2 d)对SAP的发生作出有效的预测,CRP有望作为早期预测SAP的独立生化标志物。
To review systematically the diagnostic value of serum C reactive protein(CRP) in the early prediction of severe acute pancreatitis(SAP).
MethodsThe data of PubMed, Embase, Chinese periodicals website, Chinese biomedical literature database, Chinese medical current contents and China national knowledge infrastructure were collected, and some original studies were analyzed. Literature evaluation combining Meta analysis was used to analyze the heterogeneity and diagnosis value of CRP in the early prediction of SAP at different time and cut-off values, and compared with Ranson's score and the acute physiology and chronic health evaluation Ⅱ (APACHE Ⅱ) score which were widely used in clinic.
ResultsAfter the patients with acute pancreatitis (AP) had been in hospital for 1 or 2 d, comparing serum CRP and Ranson's score for predicting SAP, its summary receiver operating curve area under the curve (SROC AUC) was somewhat higher,but had no statistical significance between the others. When the cut-off value was in 100-130 mg/L,to being in hospital for 2 d, serum CRP SROC AUC in the early prediction of SAP was up to 0.849 6, and the significant difference was in comparing with APACHE Ⅱ (cut-off value was 8). To being in hospital for 1 d, serum CRP had the same diagnosis ability as APACHE Ⅱ.
ConclusionsAccurate detection of serum CRP and selection of appropriate cut-off value will be helpful in the early prediction of SAP when the patient has been in hospital for 1-2 d. CRP will become a simple biochemical marker in the early prediction of SAP.
重症急性胰腺炎(severe acute pancreatitis, SAP)因胰腺感染或坏死可使其死亡率高达25%~50%[1], 因此SAP的早期诊断对其正确治疗和避免并发症的发生尤为重要。二十多年来, 人们在不断探索鉴别SAP的方案。Ranson评分标准[2]仍然是目前应用最广的SAP 诊断方案, 11项评估标准中的5项可在入院时进行评分, 而另6项需在随后的48 h才作出判断。大多数少于2项阳性的患者均可治愈, 有3~5项阳性者死亡率为20%, 有6项或更多阳性的患者死亡率可达50%。有3项以上阳性者胰腺坏死或系统并发症的发病率明显增高。其预测SAP的敏感性为40%~90%。但该方案的不足之处在于需48 h并观测所有项目才能作出判断, 这往往会耽误恰当的治疗时机。急性生理和慢性健康估测评分(acute physiology and chronic health evaluation Ⅱ score, APACHE Ⅱ )[3]亦被用于评估SAP, 该评估标准由患者的年龄、相关慢性疾病的存在和一些生化参数组成, 应用起来较为繁琐。
寻找能在早期阶段评估SAP的生化标志物一直是人们研究的热点。多项研究均证实在急性胰腺炎(acute pancreatitis, AP)的早期免疫系统即被激活, 血清C反应蛋白(C reactive protein, CRP)是临床常用的急性时相反应蛋白之一, 因其测定方法简便、价格低廉、易于应用而受到临床的欢迎。近年研究证实, 60%~80%的SAP患者血清CRP> 100 mg/L[4] , 故可用于评估AP的严重性, 但对其应用价值仍然存在不少争论。因此, 我们对其早期预测SAP的诊断价值进行系统评价。
1.研究类型 关于血清CRP早期诊断SAP的前瞻性队列或病例对照诊断性试验; 可提取四格表数据的文献。
2.研究对象 轻症AP(mild acute pancreatitis, MAP)和SAP患者。MAP与SAP诊断的参考标准采用相应研究的国家或地区制定的AP诊断标准或其他国际标准。
3.诊断试验方法 采用免疫学方法检测血清CRP, 结果以mg/L为单位。
4.测量指标 测量指标采用敏感度、特异度、准确度、阳性与阴性预测值、阳性与阴性似然比, 可从原始文献直接获得或按诊断试验四格表计算得到。Meta分析的结果采用合并敏感度(Sen)、合并特异度(Spe)、合并阳性似然比(+LR)、合并阴性似然比(-LR)、合并诊断比值比(pooled diagnosis odds ratio, DOR)和合并受试者工作曲线下面积(SROC AUC)。
5.排除标准 不同人群间血清CRP水平变化的观察性研究, 方法学不健全的研究, 资料不全的研究, 无法获取四格表数据的研究, 重复发表的研究, 被Meta分析排除的研究。
电子检索中国期刊网(1994~2007年), 检索式为“ AP and CRP” , 检索入口为中文摘要; 检索中国生物医学期刊文献数据库(CMCC, 1994~2007年)、中国生物医学文献数据库(CBM, 1978~2007年), 检索式均为“ AP and CRP” , 默认检索入口。通过Internet检索PubMed、Embase电子数据库, 并从相关文章的参考文献中查找可能符合纳入标准的文献。部分文献通过我校访美的邓凡博士后从匹兹堡大学医学院数据库获得, 少量文献通过向作者索要原文获得。
根据诊断性研究质量评价工具(quality asse-ssment of diagnostic accuracy studies, QUADAS)质量标准由2名评价者独立对纳入文献进行质量评价。评价标准:(1)是否设立“ 金标准” 或参考标准; (2)是否与“ 金标准” 或参考标准进行了独立的对比; (3)该资料的对比分析是否采用盲法; (4)是否包括了轻、中、重度病例; (5)是否包括了容易混淆的病例, 如急性液体积聚(acute fluid collection); (6)是否用正确的方法确定Cut-off值; (7)是否提供可供计算敏感度、特异度、似然比的数据; (8)对研究地点、环境、人群等是否作出充分的描述; (9)是否对研究对象的病情、病程及用药情况进行描述。
用简单评估法对纳入文献进行质量分级评价。A级:符合以上所有质量标准, 其实施、测量或选择性偏倚可能最低; B级:以上质量评价标准(1)~(4)中任1条或多条不清楚者, 存在中等度偏倚的可能性; C级:以上质量评价标准(1)~(4)中任1条或多条错误或未实施者, 存在高度偏倚的可能性。
提取各研究的发表信息、纳入观察对象的人口学资料、疾病基本情况、检测方法、检测数据并用四格表表示。
为探求CRP在急腹症发作后对SAP诊断的时效性, 预先设定3个研究组, 即入院当天(T=0)、入院后1 d(T=1)和入院后2 d(T=2)3组, 并将研究文献四格表数据根据预设时间纳入不同组别, 计算相关指标。为了探讨CRP不同Cut-off值对SAP的诊断效能, 将其Cut-off值预设为CRP< 100 mg/L、100~130 mg/L和> 130 mg/L 3组, 对其不同时间早期诊断SAP的诊断效能进行合并分析。并与APACHE Ⅱ 和Ranson评分的诊断效能进行比较。采用χ 2检验对各研究DOR结果进行异质性分析, 显著性水平设定为α =0.1, 用I2评估异质性大小。I2< 25%为异质性较小, 25%~50%为中等度异质性, > 50%为高度异质性。若有异质性, 则进行敏感性分析。计算Sen、Spe、+LR、-LR和SROC AUC, 所有结果均用95%可信区间(CI)表示, 所有Meta分析均使用MetaDisc软件。不同判断标准早期诊断SAP的诊断效能采用U检验进行AUC的比较, 显著性水平设定为P=0.05; 若Z> 1.96, 则P< 0.05, 反之亦然。
检索3大中文文献电子数据库, 共获得中文文献278篇, 其中中国生物医学文献数据库101篇, 中国生物医学期刊文献数据库 93篇 , 中国期刊网84篇。检索PubMed、Embase共获得外文文献417篇。剔除综述后, 经阅读标题和摘要, 初筛出33个研究基本符合纳入标准, 再仔细阅读全文, 去除18项无关的研究和1篇存在重大错误的研究, 最终纳入14篇研究(外文10篇, 中文4篇), 分别来自8个国家和地区。
1.纳入研究的设计 所有研究均为检测血清CRP早期预测SAP的诊断试验, 排除了不同胰腺病组间CRP水平变化的观察性试验。观察对象:均为急性胰腺炎患者, 共1 174 例观察对象被纳入研究, 各研究纳入人数最少20例, 最多172例, 其中经金标准确认的SAP患者共343例, MAP患者831例。
2.诊断试验方法 6篇研究采用透射比浊法测定血清CRP, 5篇研究采用散射比浊法, 采用免疫单扩散法和干化学法各1篇, 另有1篇研究未说明采用的是何种检测方法。
对14篇研究文献的质量按QUADAS量表用简单评估法对其质量进行分级评价, 其中A级2篇, B级2篇, C级10篇。
1. 入院后不同时间检测CRP预测SAP的诊断效能比较研究 入院后1 d与入院后2 d检测CRP预测SAP的DOR分析, 异质性检验P值分别为0.424 2和0.315 0, I2分别为1.2%和13.9%, 表明各研究间均无明显异质性, 见表1、图1、表2、图2。入院后1 d与入院后2 d检测CRP预测SAP的SROC AUC分别为0.789 4和0.893 8, 入院后2 d的诊断效能比入院后1 d更高, 见图3。
| 表1 入院后1 d CRP预测SAP的DOR |
| 表2 入院后2 d CRP预测SAP的DOR |
2.CRP最适Cut-off值不同时间预测SAP的诊断效能研究 14篇文献中CRP的检测共采用了4种方法, 其Cut-off值差异较大, 最小为28 mg/L[9], 最大为160 mg/L[10, 16], 多数介于100~130 mg/L之间。对入院后不同时间、CRP为100~130 mg/L预测SAP的效能进行合并分析。9篇研究的异质性检验P=0.290 8, I2=15.2%, 各研究间无明显异质性, 见表3、图4。其早期预测SAP的效能见图5。入院后1 d检测CRP, 当Cut-off值为100~130 mg/L时, 其预测SAP的异质性检验P=0.516 0, I2=0.0%, 说明各研究间无明显异质性; 其SROC AUC=0.780 5[标准误(SE)=0.041 6]。入院后2 d检测CRP, 当Cut-off值为100~130 mg/L时, 其预测SAP的异质性检验P=0.253 2, I2=23.1%, 说明各研究间无明显异质性; 其SROC AUC=0.849 6(SE=0.032 6)。
| 表3 CRP为100~130 mg/L时预测SAP的DOR |
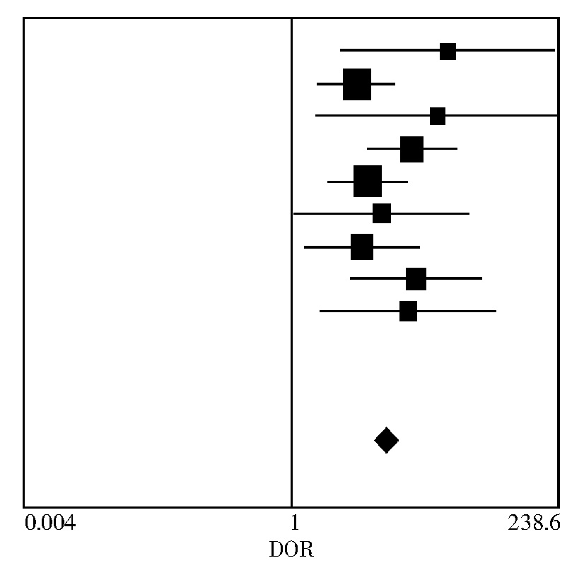
3.CRP与APACHE Ⅱ 对SAP的早期诊断效能比较研究 采用CRP和APACHE Ⅱ 早期预测SAP的文献共有3篇[6, 8, 16], 其中1篇文献[16]采用APACHE Ⅱ 评分为5作为诊断SAP的参考标准, 与我国制定的SAP诊断标准不符。对其余2篇文献[6, 8]的数据进行DOR分析, P值分别为0.234 5和0.223 3, I2分别为29.6%和31.5%, 两者均无明显异质性。CRP与APACHE Ⅱ 的SROC AUC分别为0.800 7和0.664 4, 前者的诊断效能优于后者, 见图6。
4.CRP与Ranson评分对SAP的早期诊断效能比较研究 入院后2 d, 采用CRP和Ranson评分早期诊断SAP共纳入3篇研究[5, 6, 16], 前者的异质性检验结果P=0.156 6、I2=46.1%; 后者异质性检验结果P=0.345 7, I2=5.9%, 说明各研究间均无明显异质性。CRP与Ranson评分的SROC AUC分别为0.774 6和0.774 9, 两者的诊断效能相当。见图7。
对SAP的早期诊断和重症监护可明显改善SAP的预后, 目前有数个评估系统用于早期预测SAP的发生。但是, 这些评估系统的复杂性限制了其在临床上的日常运用。Ranson评分共需测定11项指标, 其中5项在入院时完成, 另外6项需在入院后8~48 h完成[2]。有学者在Ranson评分的基础上作了经验修改[19], 但仍需检测8项指标, 包括一些急诊检验项目中不常提供的项目, 且该评分标准只能在入院48 h后使用。尽管APACHE Ⅱ 可在入院时立即使用, 但需评价包括肛温、平均动脉压、心率、呼吸频率、氧分压、动脉血pH值、血钠、血钾、血肌酐、血细胞比容、白细胞计数等急性生理得分和年龄及慢性健康得分, 使用起来更为繁琐。
独立指标替代这些评估系统的可行性受到人们的关注, CRP是关注的重点。本研究评价结果显示, 将最佳Cut-off值设为100~130 mg/L时, 入院后1 d早期预测SAP的Sen、Spe、SROC AUC分别为65%、73%、0.780 5 (95%CI: 0.697 3~0.863 7), APACHE Ⅱ 分别为54%、76%、0.664 4(95%CI: 0.561 0~0.767 8), 二者差异无统计学意义(P> 0.05)。入院后2 d检测CRP的Sen和Spe均高于APACHE Ⅱ , 两者的SROC AUC差异有统计学意义(P< 0.05), 前者的诊断效能优于后者。同临床上广泛应用的Ranson评分相比, CRP的Sen与之相当, Spe较高, 诊断效能(SROC AUC为0.849 6)略优于Ranson评分(SROC AUC为0.774 9), 但两者差异无统计学意义(P> 0.05)。以上结果说明, 选择恰当的Cut-off值后, 在患者入院后2 d检测血清CRP可有效地早期预测SAP的发生; 入院后1 d检测CRP的诊断效能相比于入院时即可开始进行评估的APACHE Ⅱ 并不逊色, 甚至可能略优于临床广泛应用的Ranson评分。我们相信, 随着CRP检测方法学的趋于统一和技术的进步, 优选CRP的Cut-off值后, 其早期预测SAP发生的应用价值将会进一步提高。
CRP用于鉴别诊断MAP和SAP的最佳Cut-off值至今仍在争论。有学者认为[20], CRP> 100 mg/L可有效鉴别MAP、SAP; 而Wilson等[21]则认为CRP< 210 mg/L不足以有效鉴别MAP和SAP。其他学者推荐的Cut-off值还包括110、120和150 mg/L。本研究中纳入的14篇文献共涉及4种CRP检测方法, 各篇研究间的Cut-off值相差较大, 多数介于100~130 mg/L 之间。有意义的是, 依照各篇文献所设定的最适Cut-off值, 入院后2 d检测CRP早期预测SAP可获得较高的敏感度(83%)和最大的诊断效能(SROC AUC为0.893 8), 略高于入院后2 d CRP为100~130 mg/L时的诊断效能(SROC AUC为0.849 6)。Mayer等[9]同样采用德国宝灵曼试剂以透射比浊法测定症状发作后24 h 的血清CRP, 其Cut-off 值为28 mg/L, 与其他试验相差较大, 这也可能是导致其特异性(49.64%)较差的原因之一, 这也说明了选择恰当的Cut-off值的重要性。针对目前测定血清CRP的方法学和技术现状, 如何实现不同方法间测定结果的可比性, 对于确定CRP早期预测SAP的临界值和恰当的检测时间点无疑具有重要意义。
本研究中采用DOR进一步分析异质性的结果表明各实验室检测的准确性差异较大, 说明Cut-off值的选择值得进一步推敲。在目前CRP检测技术方法尚未统一的情况下, 也许需要确定各自的最佳Cut-off值。纳入的14篇研究中, 有9篇研究的检测未采用盲法, 可能存在测量偏倚。各篇研究患者自症状发作开始至入院的时间上存在一定的差异, 取样时间上也存在一定的差异, 存在疾病进展偏倚的可能性。本研究合并分析APACHE Ⅱ 的诊断效能时, Modrau等[16]在入院时和入院后2 d以5分作为诊断SAP的临界值, 不符合通行的Cut-off值为8分的标准。因此, 并未将其进行合并分析。本研究纳入的文献数量仍然有限, 亦会对合并分析结果的可靠性造成一定影响。
The authors have declared that no competing interests exist.
| [1] |
|
| [2] |
|
| [3] |
|
| [4] |
|
| [5] |
|
| [6] |
|
| [7] |
|
| [8] |
|
| [9] |
|
| [10] |
|
| [11] |
|
| [12] |
|
| [13] |
|
| [14] |
|
| [15] |
|
| [16] |
|
| [17] |
|
| [18] |
|
| [19] |
|
| [20] |
|
| [21] |
|
